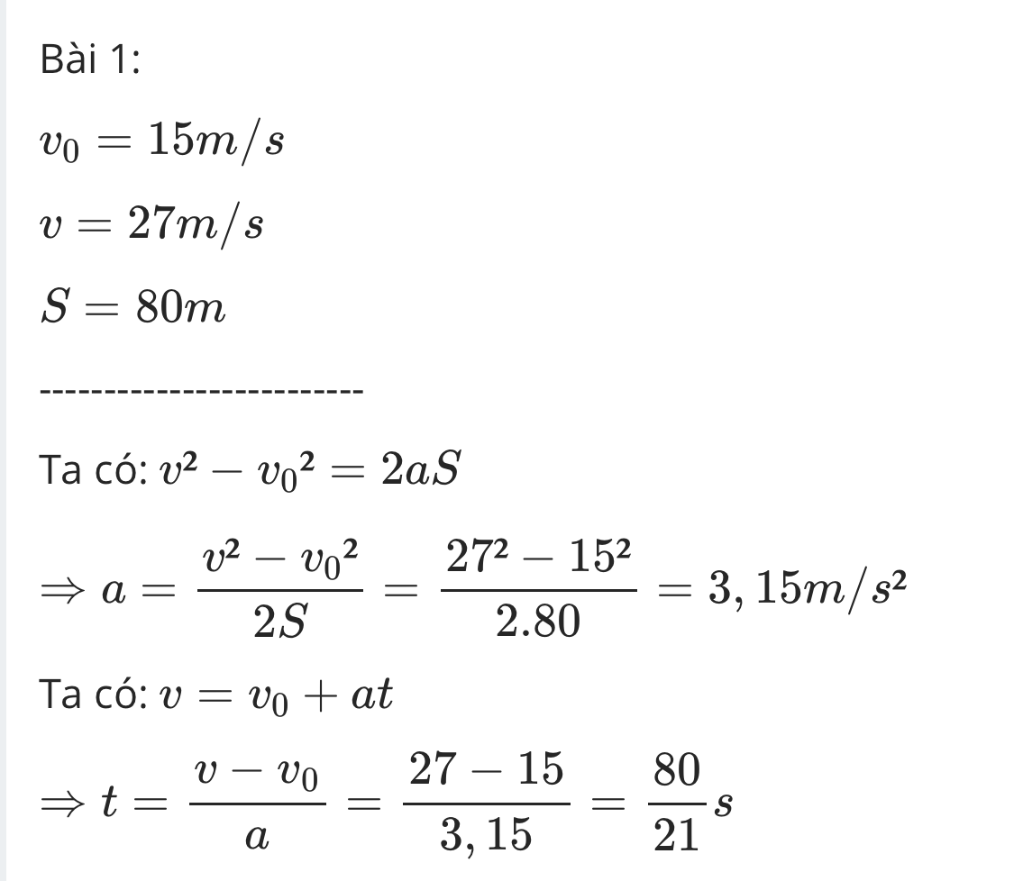
Một tàu thuỷ tăng tốc đều đặn từ 15 m/s đến 27 m/s trên một quãng đường thẳng dài 80 m. Thời
gian tàu chạy trên quãng đường đó là
Quảng cáo
1 câu trả lời 396
Quảng cáo
Bạn muốn hỏi bài tập?
Câu hỏi hot cùng chủ đề
-
150255
-
97543
-
Hỏi từ APP VIETJACK59014
Gửi báo cáo thành công!

