Một bình chứa 10kg khí áp suất 10^7 N/m^2. Người ta lấy bớt khí trong bình và giữ nhiệt độ khí ko đổi đến khi áp suất trong bình còn 2,5.10^6 N/m^2
Hãy xác định khối lượng khí lấy ra?
Quảng cáo
3 câu trả lời 55727
1. Phương trình trạng thái khí lý tưởng
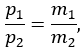
Ở nhiệt độ không đổi, từ phương trình trạng thái khí lý tưởng:
với không đổi, ta có:

trong đó:
- : áp suất ban đầu và áp suất sau khi lấy khí,
- : khối lượng khí ban đầu và khối lượng khí còn lại.
2. Tính khối lượng khí còn lại
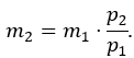
Biến đổi công thức:

Thay số:

Tính toán:
![]()
3. Tính khối lượng khí lấy ra
Khối lượng khí bị lấy ra là:
![]()
Thay số:
![]()
Kết quả
Khối lượng khí lấy ra là:
![]()
Ở nhiệt độ không đổi, từ phương trình trạng thái khí lý tưởng:
pV = nRT
với V , R , T không đổi, ta có:
trong đó:
p1, p2: áp suất ban đầu và áp suất sau khi lấy khí,
m1, m2: khối lượng khí ban đầu và khối lượng khí còn lại.
2. Tính khối lượng khí còn lại
Biến đổi công thức:
Thay số:
Tính toán:
3. Tính khối lượng khí lấy ra
Khối lượng khí bị lấy ra là:
Thay số:
Kết quả
Khối lượng khí lấy ra là:
Quảng cáo
Bạn cần hỏi gì?
Câu hỏi hot cùng chủ đề
-
Đã trả lời bởi chuyên gia
153952 -
100304
-
Hỏi từ APP VIETJACK
Đã trả lời bởi chuyên gia
61533
