Dế Mèn Gaming
Hỏi từ APP VIETJACK
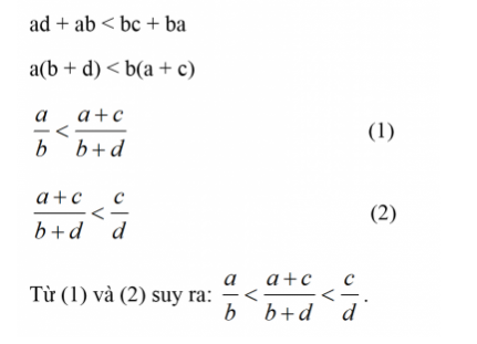
a, chứng tỏ rằng nếu a/b<c/d (b>0,d>0) thì a/b < a+c/b+d<c/d
Quảng cáo
2 câu trả lời 389
4 năm trước

Dạ bài này bạn nên nhớ đến bài hai phân thức bằng nhau nhé
và kỹ năng biến đổi
thằng thầy lợi cám ơn
bạn cần hỏi gì cứ nhắn
Quảng cáo
Bạn muốn hỏi bài tập?
Câu hỏi hot cùng chủ đề
-
Hỏi từ APP VIETJACK120578
-
81263
-
59365
Gửi báo cáo thành công!

