Huỳnh Khánh An
Hỏi từ APP VIETJACK
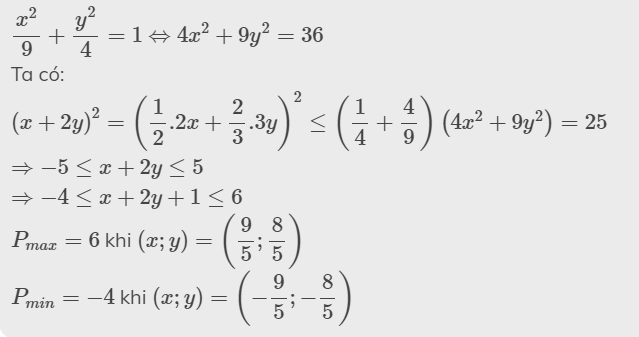
Cho2 số x y thỏa mãn x^2\9 +y^2\4=1.Tìm GTLN và GTNN của biểu thức p=x+2y+1
Quảng cáo
1 câu trả lời 3606
Quảng cáo
Bạn muốn hỏi bài tập?
Câu hỏi hot cùng chủ đề
Gửi báo cáo thành công!

