Huỳnh Khánh An
Hỏi từ APP VIETJACK
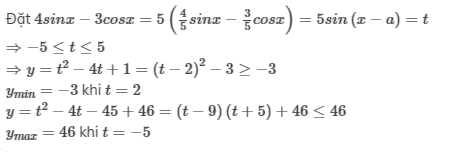
Tìm GTLN và GTNN của hàm số :y=(4sinx-3cosx)^2-4(4sinx-3cosx)+1
Quảng cáo
1 câu trả lời 6220
Quảng cáo
Bạn muốn hỏi bài tập?
Câu hỏi hot cùng chủ đề
Gửi báo cáo thành công!

