Huệ Nguyễn
Hỏi từ APP VIETJACK
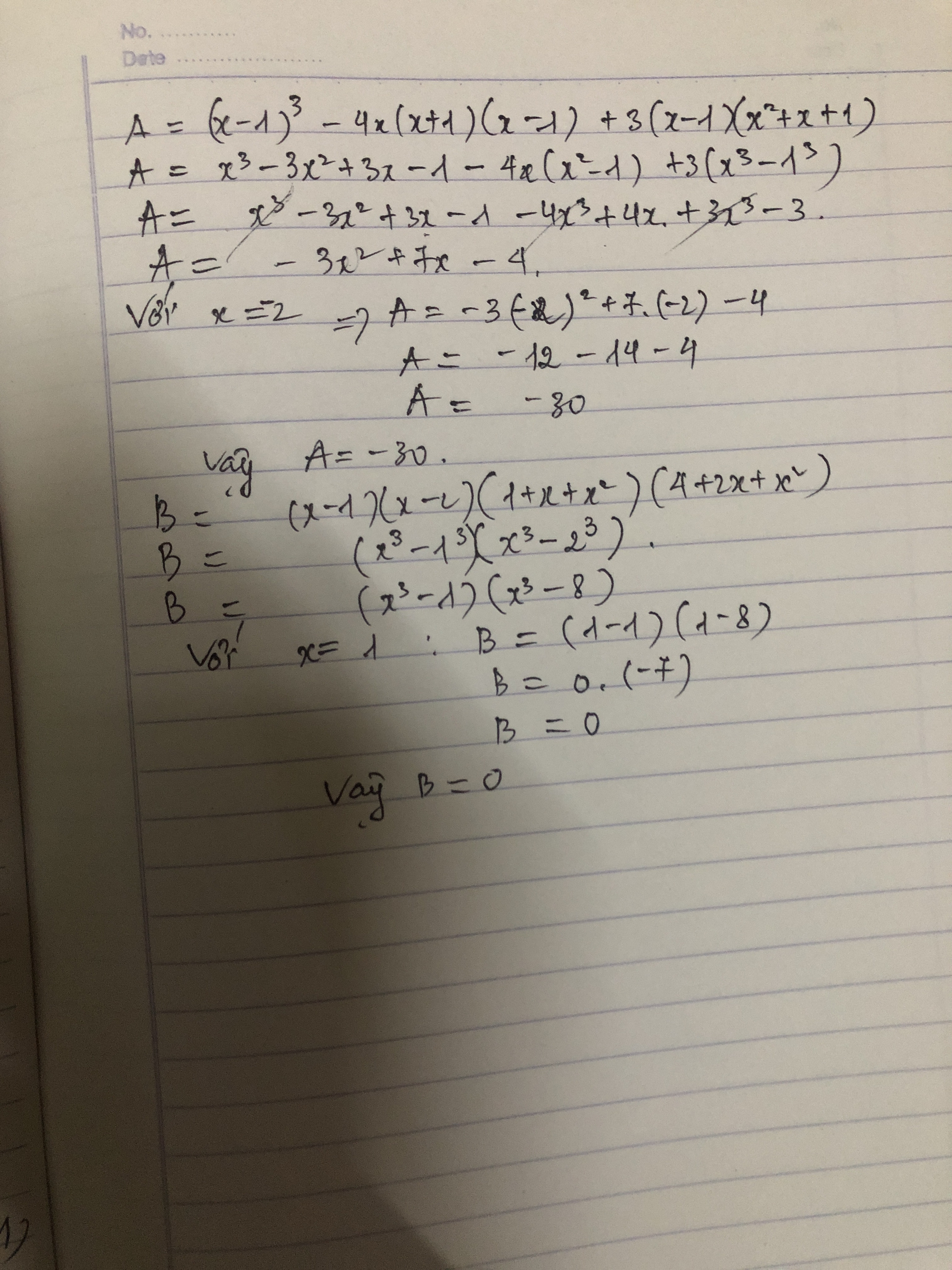
Tìm giá trị của biểu thức:
A,(x-1)³-4x(x+1)(x-1)+3(x-1)(x²+x+1) với x=-2
B,(x-1)(x-2)(1+x+x²)(4+2x+x²) với x=1
Quảng cáo
1 câu trả lời 510
Quảng cáo
Bạn muốn hỏi bài tập?
Câu hỏi hot cùng chủ đề
-
107278
-
Hỏi từ APP VIETJACK67830
-
44998
-
38171
Gửi báo cáo thành công!

