Alaba trap
Hỏi từ APP VIETJACK
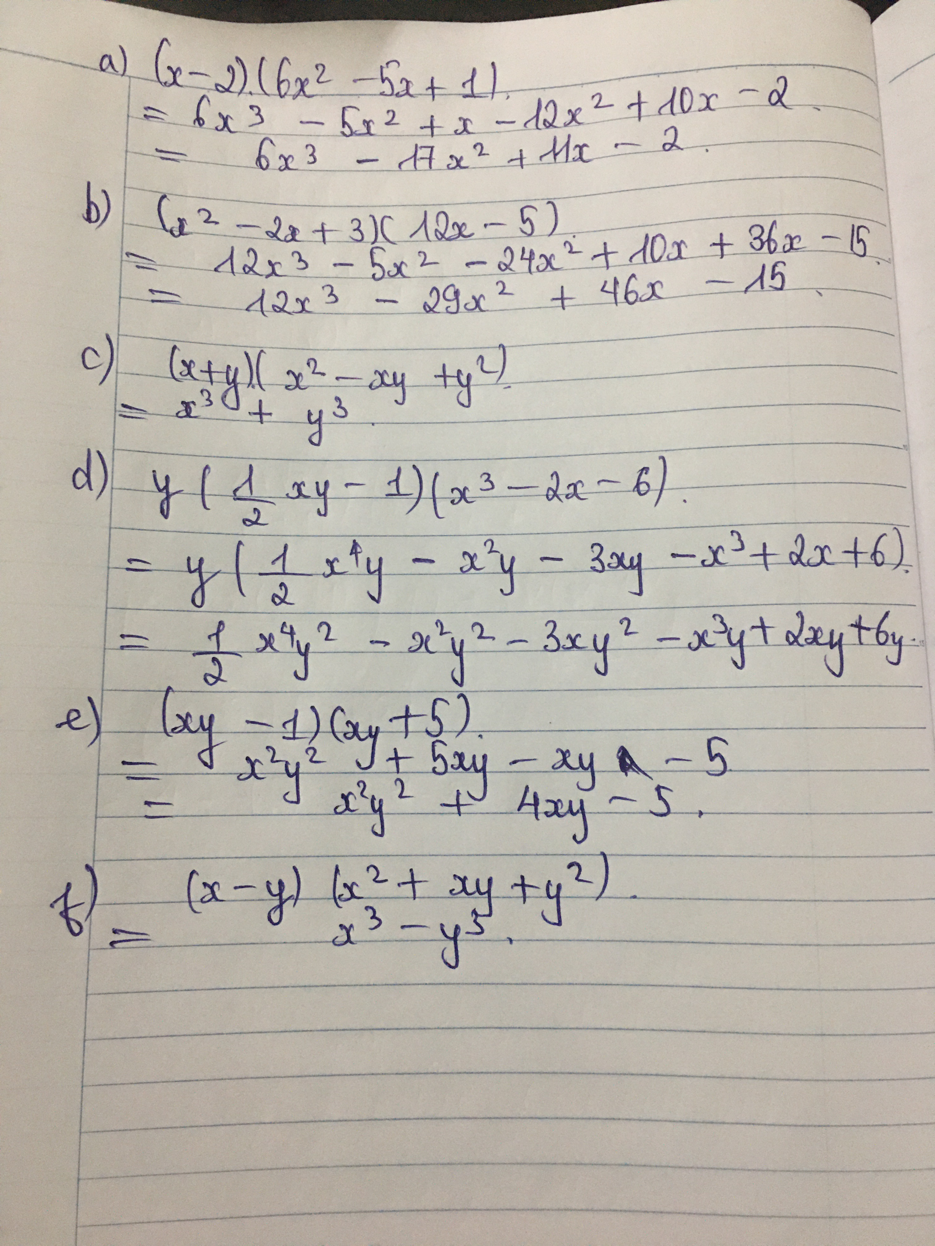
Bài 2. Làm tính nhân a) (x - 2)(6x ^ 2 - 5x + 1); c)(x^ 2 -2x+3)( 1 2 x-5) c) (x + y)(x ^ 2 - xy + y ^ 2) b Y(1/2 * x * y - 1) * (x ^ 3 - 2x - 6) d) (xy - 1)(xy + 5) 0 (x - y)(x ^ 2 + xy + y ^ 2)
Quảng cáo
2 câu trả lời 2909
\[\begin{array}{l}
a)(x - 2)(6{x^2} - 5x + 1)\\
= 6{x^3} - 5{x^2} + x - 12{x^2} + 10x - 2\\
= 6{x^3} - 17{x^2} + 11x - 2\\
c)({x^2} - 2x + 3)(12x - 5)\\
= 12{x^3} - 5{x^2} - 24x + 10x + 36x - 15\\
= 12{x^3} - 5{x^2} + 22x - 15\\
c)(x + y)({x^2} - xy + {y^2})\\
= {x^3} + {y^3}\\
b)y(\frac{1}{2}xy - 1)({x^3} - 2x - 6)\\
= \left( {\frac{1}{2}x{y^2} - y} \right)\left( {{x^3} - 2x - 6} \right)\\
= \frac{1}{2}{x^4}{y^2} - {x^2}{y^2} - 3x{y^2} - {x^3}y + 2xy + 6y\\
d)(xy - 1)(xy + 5)\\
= {x^2}{y^2} + 5xy - xy - 5\\
= {x^2}{y^2} + 4xy - 5\\
(x - y)({x^2} + xy + {y^2})\\
= {x^3} - {y^3}
\end{array}\]
Quảng cáo
Bạn muốn hỏi bài tập?
Câu hỏi hot cùng chủ đề
-
107278
-
Hỏi từ APP VIETJACK67830
-
44998
-
38171
Gửi báo cáo thành công!

