Quảng cáo
3 câu trả lời 3783


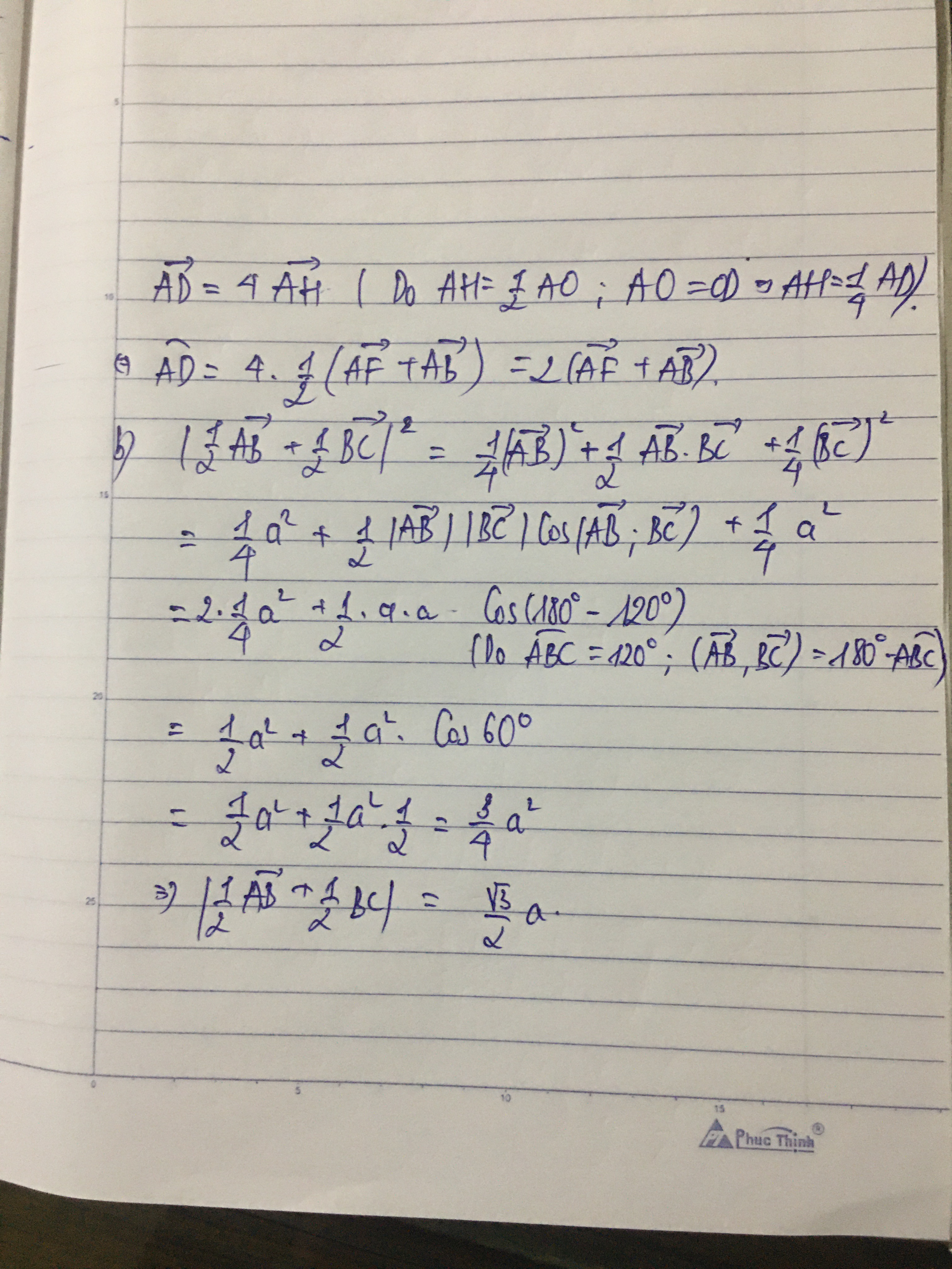
\[\begin{array}{l}
Vay:\overrightarrow {AD} = 2\overrightarrow {AB} + 2\overrightarrow {AF} \\
|\frac{1}{2}\overrightarrow {AB} + \frac{1}{2}\overrightarrow {BC} | = \frac{{a\sqrt 3 }}{2}
\end{array}\]
Quảng cáo
Bạn cần hỏi gì?
Câu hỏi hot cùng chủ đề
-
Đã trả lời bởi chuyên gia
90122 -
Đã trả lời bởi chuyên gia
60238 -
Hỏi từ APP VIETJACK
Đã trả lời bởi chuyên gia
59556 -
Đã trả lời bởi chuyên gia
51180 -
Hỏi từ APP VIETJACK
Đã trả lời bởi chuyên gia
48684 -
Đã trả lời bởi chuyên gia
38978
Gửi báo cáo thành công!



