Giải các pt lượng giác sao : sinx + căn 3 cosx =0
Quảng cáo
1 câu trả lời 10946
4 năm trước
Giải phương trình lượng giác
Giải phương trình:
![]()
Bước 1: Biến đổi phương trình về dạng tổng quát
Phương trình có dạng:
![]()
trong đó a = 1, b = .
Chia cả hai vế cho
để đưa phương trình về dạng
.
- Tính R:
![]()
Do đó, ta chia cả phương trình cho 2:
![]()
Bước 2: Đưa về dạng hàm lượng giác tổng
Sử dụng công thức biến đổi tổng hợp lượng giác:
![]()
trong đó:
![]()
Thay a = 1, b = , R = 2, ta có:
![]()
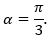
Dựa vào giá trị của cos và sin, ta suy ra:
![]()
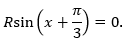
Vậy phương trình trở thành:
![]()
Do R = 2 , nên phương trình tương đương:
![]()
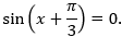
Bước 3: Giải phương trình
Phương trình sint có nghiệm tổng quát:
![]()
Thay
, ta được:
![]()
Giải x:
![]()
Kết luận
Nghiệm của phương trình là:
![]()
Quảng cáo
Bạn muốn hỏi bài tập?
Câu hỏi hot cùng chủ đề
-
Đã trả lời bởi chuyên gia
134838 -
Hỏi từ APP VIETJACK
Đã trả lời bởi chuyên gia
75920 -
Đã trả lời bởi chuyên gia
71641 -
Đã trả lời bởi chuyên gia
47575
Gửi báo cáo thành công!
