Chocopie Matcha
Hỏi từ APP VIETJACK
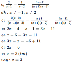
Giải pt
2/x+1 - 1/x-2 = 3x-11/(x+1)(x-2)
Quảng cáo
2 câu trả lời 9521
.

Trúc dayy
· 2 năm trước
có cần ghi thêm mẫu thức chung
Trúc dayy
· 2 năm trước
sao khúc x-5=3x-11 xuống hàng lại là 3x-x mà không phải x-3x ạ??
Quảng cáo
Bạn muốn hỏi bài tập?
Câu hỏi hot cùng chủ đề
-
107278
-
Hỏi từ APP VIETJACK67830
-
44998
-
38171
Gửi báo cáo thành công!
