Nguyễn Hồng Vũ
Hỏi từ APP VIETJACK
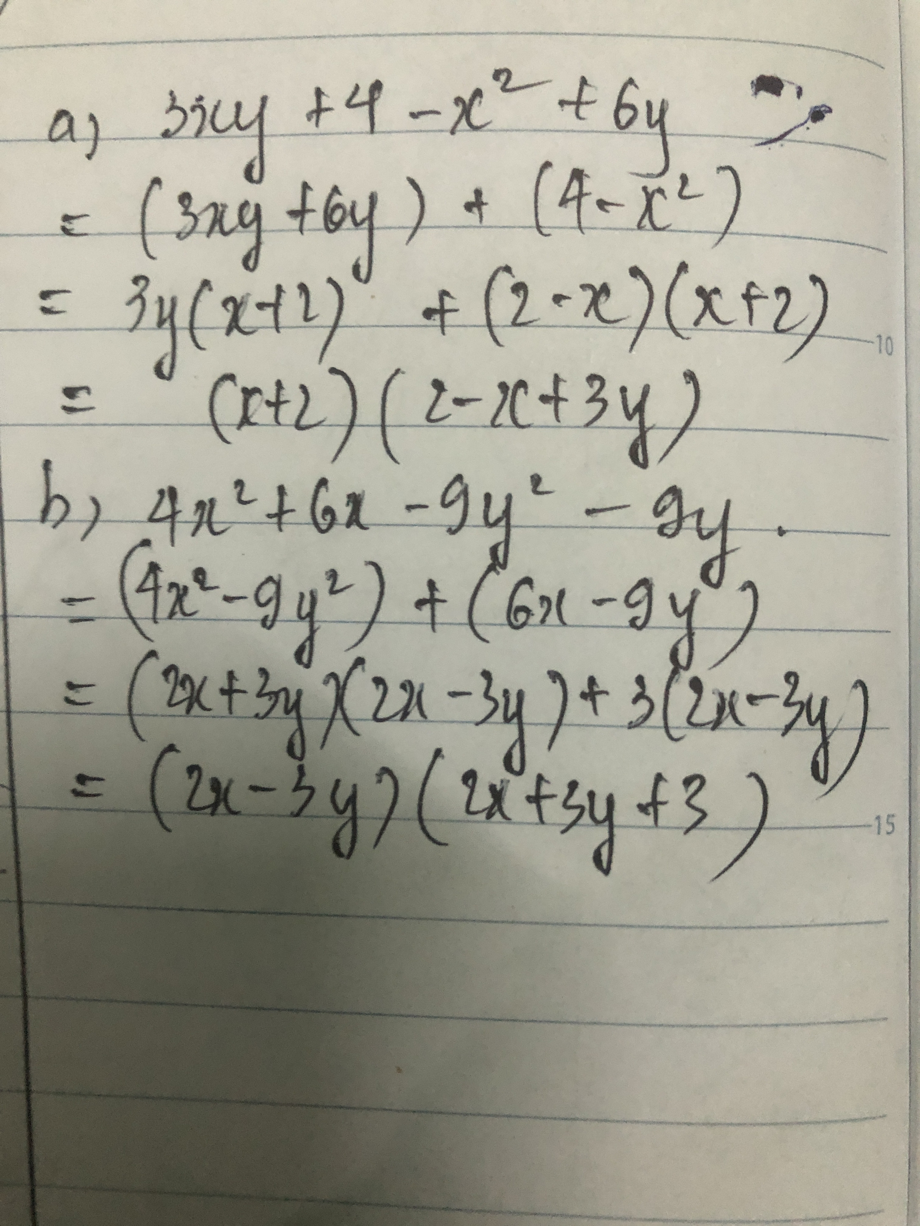
Phân tích đa thức thành nhân tử
A:3xy+4-x^2+6y
B:4x^2+6x-9y^2-9y
Mong thầy cô giúp em ạ em lớp 7 lm bài lớp 8 mắc nhiều quá ạ
Quảng cáo
1 câu trả lời 503
Quảng cáo
Bạn muốn hỏi bài tập?
Câu hỏi hot cùng chủ đề
-
Hỏi từ APP VIETJACK120578
-
81263
-
59365
Gửi báo cáo thành công!

