Danh Nguyễn
Hỏi từ APP VIETJACK
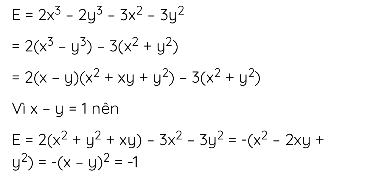
Cho biết x-y=1,tính giá trị của biểu thức D=2x^3-2y^3-3x^2-3y^2
Quảng cáo
2 câu trả lời 1137
Quảng cáo
Bạn muốn hỏi bài tập?
Câu hỏi hot cùng chủ đề
-
107278
-
Hỏi từ APP VIETJACK67830
-
44998
-
38171
Gửi báo cáo thành công!


