Thị Thoa Trần
Hỏi từ APP VIETJACK
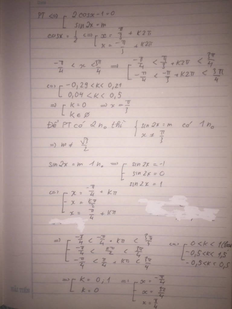
Tìm m để phương trình (2cosx-1)(sin2x-m)=0 có đúng 2 nghiệm thuộc (-pi/4 ; 3pi/4)
Quảng cáo
2 câu trả lời 15853
4 năm trước

Vậy m={-1;0;1} thì phương trình có 2 nghiệm thỏa mãn yêu cầu đề bài
Quảng cáo
Bạn muốn hỏi bài tập?
Câu hỏi hot cùng chủ đề
Gửi báo cáo thành công!
