Ngoc Anh Lê
Hỏi từ APP VIETJACK
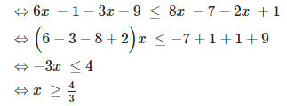
Giải bất pt: 6x-1-(3x+9) <= 8x-7-(2x-1)
Quảng cáo
3 câu trả lời 4219
Quảng cáo
Bạn muốn hỏi bài tập?
Câu hỏi hot cùng chủ đề
-
107278
-
Hỏi từ APP VIETJACK67830
-
44998
-
38171
Gửi báo cáo thành công!


