Quảng cáo
2 câu trả lời 36717
4 năm trước
Giải chi tiết:
Bước 1: Phân tích phương trình
Ta có phương trình:
![]()
Đưa về dạng tích:
![]()
Bước 2: Phương trình cơ bản của
Phương trình tanA = tanB có nghiệm tổng quát:
![]()
Áp dụng vào bài toán, ta có:
![]()
Bước 3: Giải phương trình
Rút gọn:
![]()
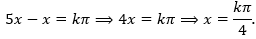
Bước 4: Xét nghiệm trên khoảng (0; )
Với x , ta có:
![]()
Chia cả hai vế cho :
![]()
Vì k , nên k = 1,2,3.
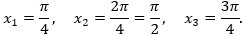
Bước 5: Tính các nghiệm
Với k = 1,2,3, ta có các nghiệm:
![]()
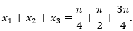
Bước 6: Tính tổng các nghiệm
Tổng các nghiệm:
![]()
Quy đồng mẫu:
![]()
Kết luận
Tổng tất cả các nghiệm của phương trình trên khoảng (0; ) là:
![]()
Hà Nguyễn
· 1 năm trước
Điều kiện cosx khác 0 với cos 5x khác 0 đâu b
Quảng cáo
Bạn muốn hỏi bài tập?
Câu hỏi hot cùng chủ đề
Gửi báo cáo thành công!

