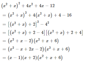
Phân tích đa thức thành nhân tử: (x² + x)² + 4x² + 4x + 12
Manoban Lilies
· 3 năm trước
8x-27x^4
Quảng cáo
1 câu trả lời 9870
Quảng cáo
Bạn muốn hỏi bài tập?
Câu hỏi hot cùng chủ đề
-
107151
-
Hỏi từ APP VIETJACK67580
-
44957
-
38162
Gửi báo cáo thành công!

