Nu Nguyenthi
Hỏi từ APP VIETJACK
4(x+3)=-7x+17
Quảng cáo
2 câu trả lời 3760
4 năm trước
Bước 1: Khai triển vế trái
Phương trình ban đầu là:
4(x + 3) = -7x + 17
Khai triển vế trái bằng cách nhân 4 với từng hạng tử trong ngoặc:
4x + 12 = -7x + 17
Bước 2: Chuyển vế và rút gọn
Chuyển tất cả các hạng tử chứa x về một vế và các số hạng tự do về vế còn lại:
4x + 7x = 17 - 12
Rút gọn:
11x = 5
Bước 3: Giải nghiệm x
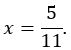
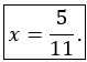
Chia cả hai vế cho 11:

Kết luận
Nghiệm của phương trình là:

Quảng cáo
Bạn muốn hỏi bài tập?
Câu hỏi hot cùng chủ đề
-
107278
-
Hỏi từ APP VIETJACK67830
-
44998
-
38171
Gửi báo cáo thành công!
