Quảng cáo
3 câu trả lời 11557
4 năm trước
Giải chi tiết:
Bước 1: Sử dụng công thức nhân đôi
Áp dụng công thức:
![]()
Bước 2: Tính cos20o . cos40o
![]()
Tính toán:
![]()
Do đó:
![]()
Bước 3: Tính (cos200 . cos400). cos800
Thay kết quả từ (1):
![]()
Phân phối:
![]()
Bước 4: Tính
Áp dụng công thức:
![]()
Tính toán:
![]()
Do đó:
![]()
Bước 5: Thay vào biểu thức tổng
Thay lại:
![]()
Phân phối:
![]()
Rút gọn:
![]()
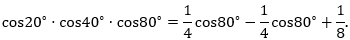
Kết luận:
![]()
4 năm trước
A=cos20.cos40.cos80=>A.sin20=sin20.cos20.cos40.cos80=12sin40.cos40.cos80=12.12sin80.cos80=12.14.sin160=18.sin160=18.sin20 (do 20+160=180 nên sin20=sin160)=>A=18
Quảng cáo
Bạn cần hỏi gì?
Câu hỏi hot cùng chủ đề
-
Đã trả lời bởi chuyên gia
89037 -
Đã trả lời bởi chuyên gia
59731 -
Hỏi từ APP VIETJACK
Đã trả lời bởi chuyên gia
58851 -
Đã trả lời bởi chuyên gia
50834 -
Hỏi từ APP VIETJACK
Đã trả lời bởi chuyên gia
48266 -
Đã trả lời bởi chuyên gia
38581
Gửi báo cáo thành công!

