Chứng minh rằng
Quảng cáo
2 câu trả lời 703
4 năm trước
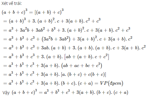
(a+b+c)^3=((a+b)+c)^3=(a+b)^3+c^3+3(a+b)c(a+b+c)(a+b+c)3
=a^3+b^3+3ab(a+b)+c^3+3(a+b)c(a+b+c)
=a^3+b^3+c^3+3(a+b)(ab+c(a+b+c))
=a^3+b^3+c^3+3(a+b)(ab+ac+bc+c^2)
=a^3+b^3+c^3+3(a+b)(a+c)(b+c)
Quảng cáo
Bạn muốn hỏi bài tập?
Câu hỏi hot cùng chủ đề
-
107151
-
Hỏi từ APP VIETJACK67580
-
44957
-
38162
Gửi báo cáo thành công!

