Phan Trang
Hỏi từ APP VIETJACK
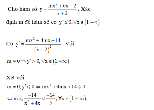
Tìm để hàm số y= mx^2 +6x-2/x+2 nghịch biến trên nửa khoảng [1;dương vô cùng)
Quảng cáo
1 câu trả lời 5818
Quảng cáo
Bạn muốn hỏi bài tập?
Câu hỏi hot cùng chủ đề
Gửi báo cáo thành công!


