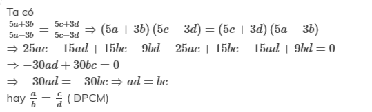
Chứng minh rằng nếu 5a+3b/5a-3b = 5c+3d/5c-3d thì a/b = c/d (biết a, b, c, d đều khác 0)
Quảng cáo
2 câu trả lời 1752
Quảng cáo
Bạn muốn hỏi bài tập?
Câu hỏi hot cùng chủ đề
-
Hỏi từ APP VIETJACK120578
-
81263
-
59365
Gửi báo cáo thành công!


.