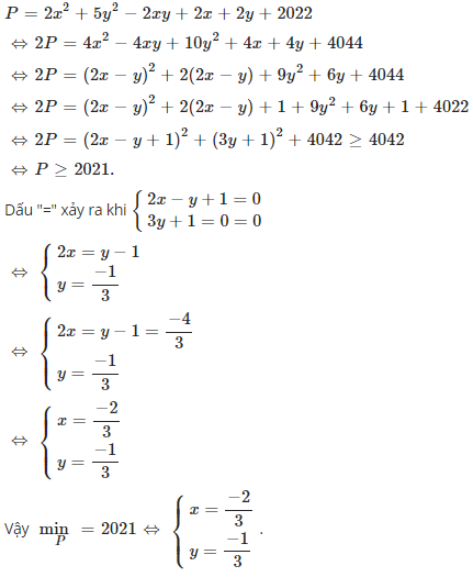
Tìm GTNN của biểu thức sau: P = 2x ² + 5y ² - 2xy + 2x + 2y + 2022
Quảng cáo
1 câu trả lời 1704
Quảng cáo
Bạn muốn hỏi bài tập?
Câu hỏi hot cùng chủ đề
-
107278
-
Hỏi từ APP VIETJACK67830
-
44998
-
38171
Gửi báo cáo thành công!

