boruto4568 nguyễn
Hỏi từ APP VIETJACK
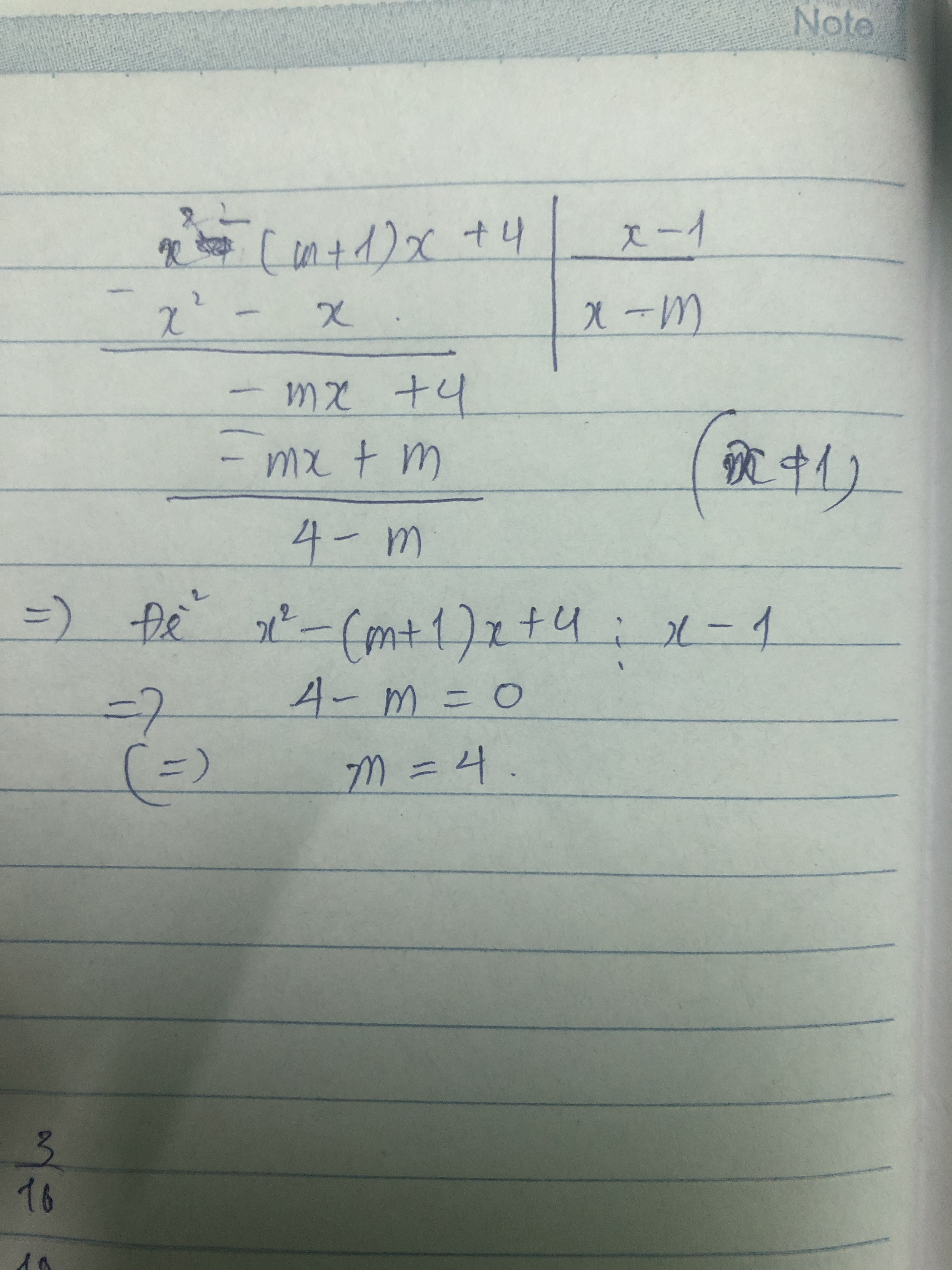
Tìm m để x^2-(m+1)x+4 chia hết cho x-1
Quảng cáo
2 câu trả lời 1570
Quảng cáo
Bạn muốn hỏi bài tập?
Câu hỏi hot cùng chủ đề
-
107278
-
Hỏi từ APP VIETJACK67830
-
44998
-
38171
Gửi báo cáo thành công!

