Tìm GTNN của biểu thức:
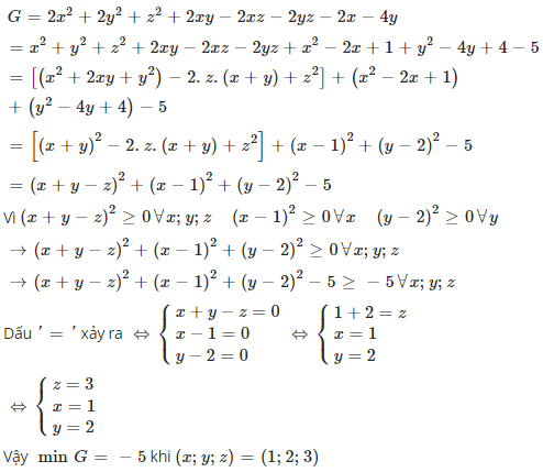
G = 2 + 2 + + 2xy - 2xz - 2yz - 2x - 4y
Quảng cáo
1 câu trả lời 4079
Quảng cáo
Bạn muốn hỏi bài tập?
Câu hỏi hot cùng chủ đề
-
107278
-
Hỏi từ APP VIETJACK67830
-
44998
-
38171
Gửi báo cáo thành công!

