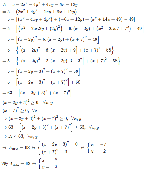
Tìm GTLN của biểu thức sau:
A = 5 - 2 - 4 + 4xy - 8x - 12y
Quảng cáo
1 câu trả lời 1621
Quảng cáo
Bạn muốn hỏi bài tập?
Câu hỏi hot cùng chủ đề
-
107278
-
Hỏi từ APP VIETJACK67830
-
44998
-
38171
Gửi báo cáo thành công!

