Nguyễn Huyền
Hỏi từ APP VIETJACK
Giải phương trình sau :
2( sinx + cosx ) = 1 + 2sin2x
Quảng cáo
2 câu trả lời 1472
4 năm trước
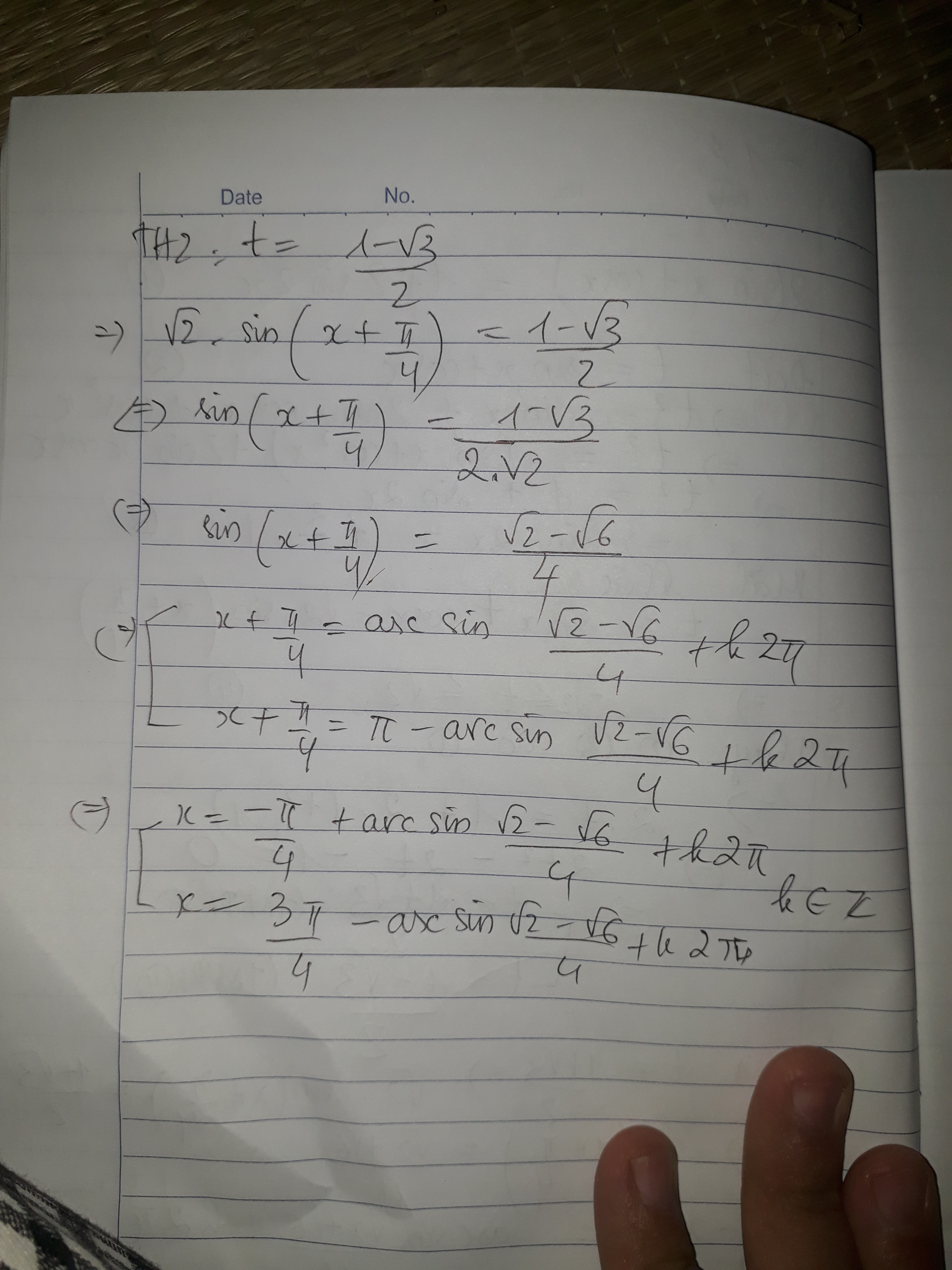
Đặt sinx+cosx=t() =
=> 2t=1+2.(t^2-1)
=> 2t^2-2t-1=0
=> t=
=>
=> x-pi/4 = Hoặc x-pi/4=
x=5pi/6+k2pi hoặc x= -pi/3+k2pi hoặc x=pi/6+k2pi hoặc x=pi/3+k2pi
Quảng cáo
Bạn muốn hỏi bài tập?
Câu hỏi hot cùng chủ đề
Gửi báo cáo thành công!


