Nguyen Elina
Hỏi từ APP VIETJACK
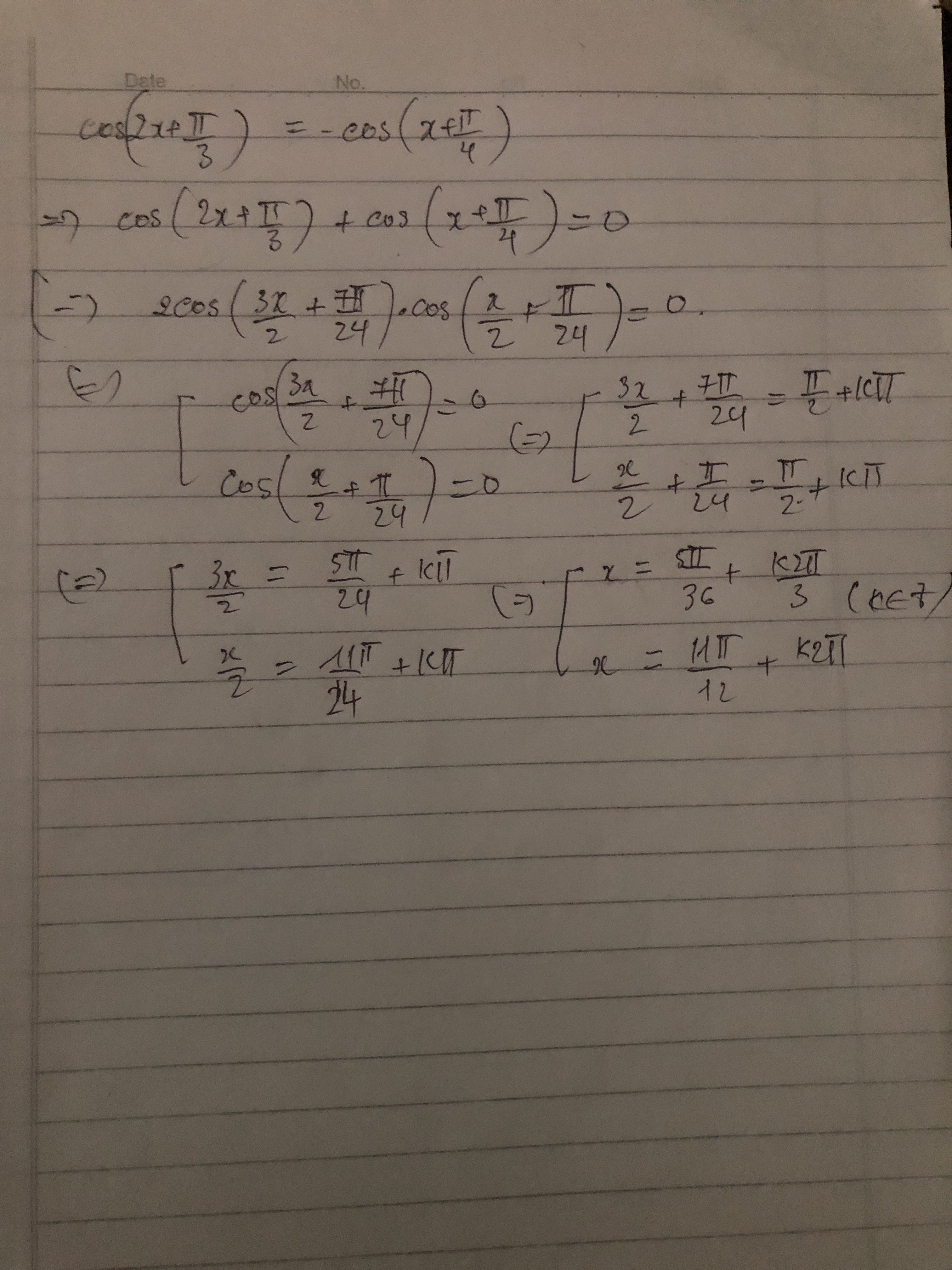
Cos(2x+π/3) = -cos(x+π/4)
Quảng cáo
1 câu trả lời 5867
Quảng cáo
Bạn muốn hỏi bài tập?
Câu hỏi hot cùng chủ đề
Gửi báo cáo thành công!

