layla Nguyễn
Hỏi từ APP VIETJACK
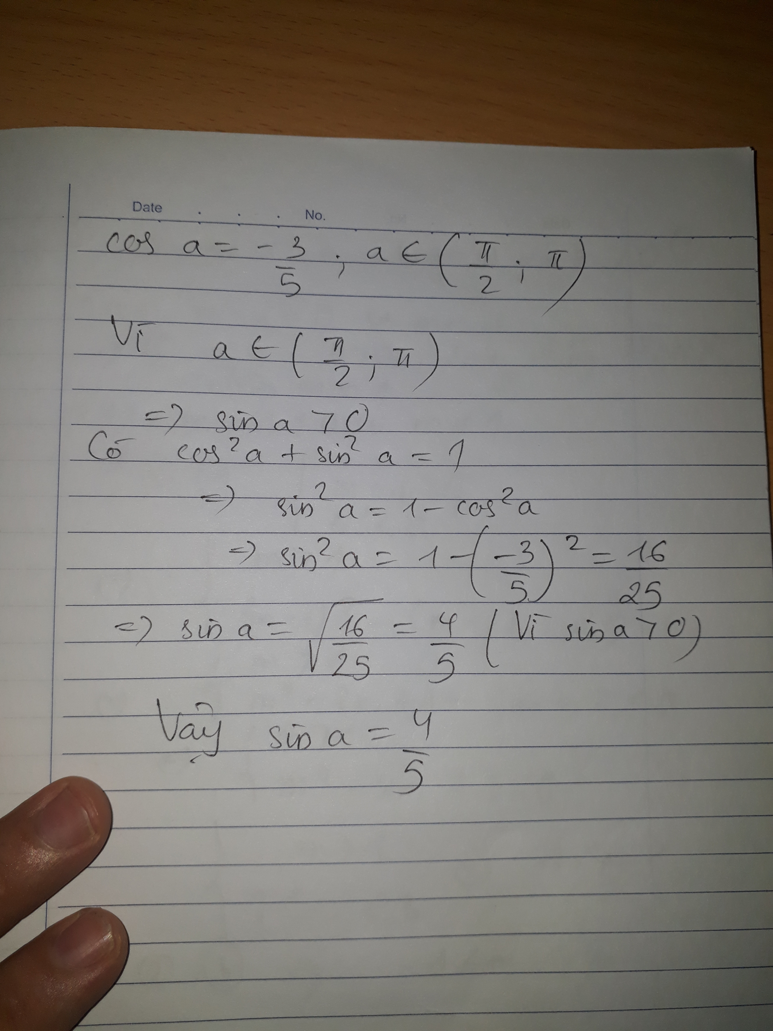
Cho cos a=-3/5 a€(pi/2;pi) tính sina
Quảng cáo
2 câu trả lời 624
Quảng cáo
Bạn muốn hỏi bài tập?
Câu hỏi hot cùng chủ đề
Gửi báo cáo thành công!


