sinx + sin2x + sin3x =0
Quảng cáo
2 câu trả lời 522
4 năm trước
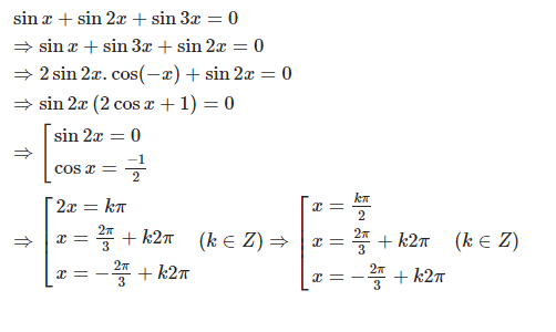
sinx+sin2x+sin3x=0⇔2sin2x.cosx+sin2x=0⇔sin2x(2cosx+1)=0⇔[sin2x=02cosx+1=0⇔⎡⎣2x=kπcosx=−12⇔⎡⎢ ⎢⎣x=kπ2x=±2π3+k2π(k∈Z)
Quảng cáo
Bạn cần hỏi gì?
Câu hỏi hot cùng chủ đề
-
Đã trả lời bởi chuyên gia
134838 -
Hỏi từ APP VIETJACK
Đã trả lời bởi chuyên gia
75920 -
Đã trả lời bởi chuyên gia
71641 -
Đã trả lời bởi chuyên gia
47575
Gửi báo cáo thành công!

