Khai triển các hằng đẳng thức sau:
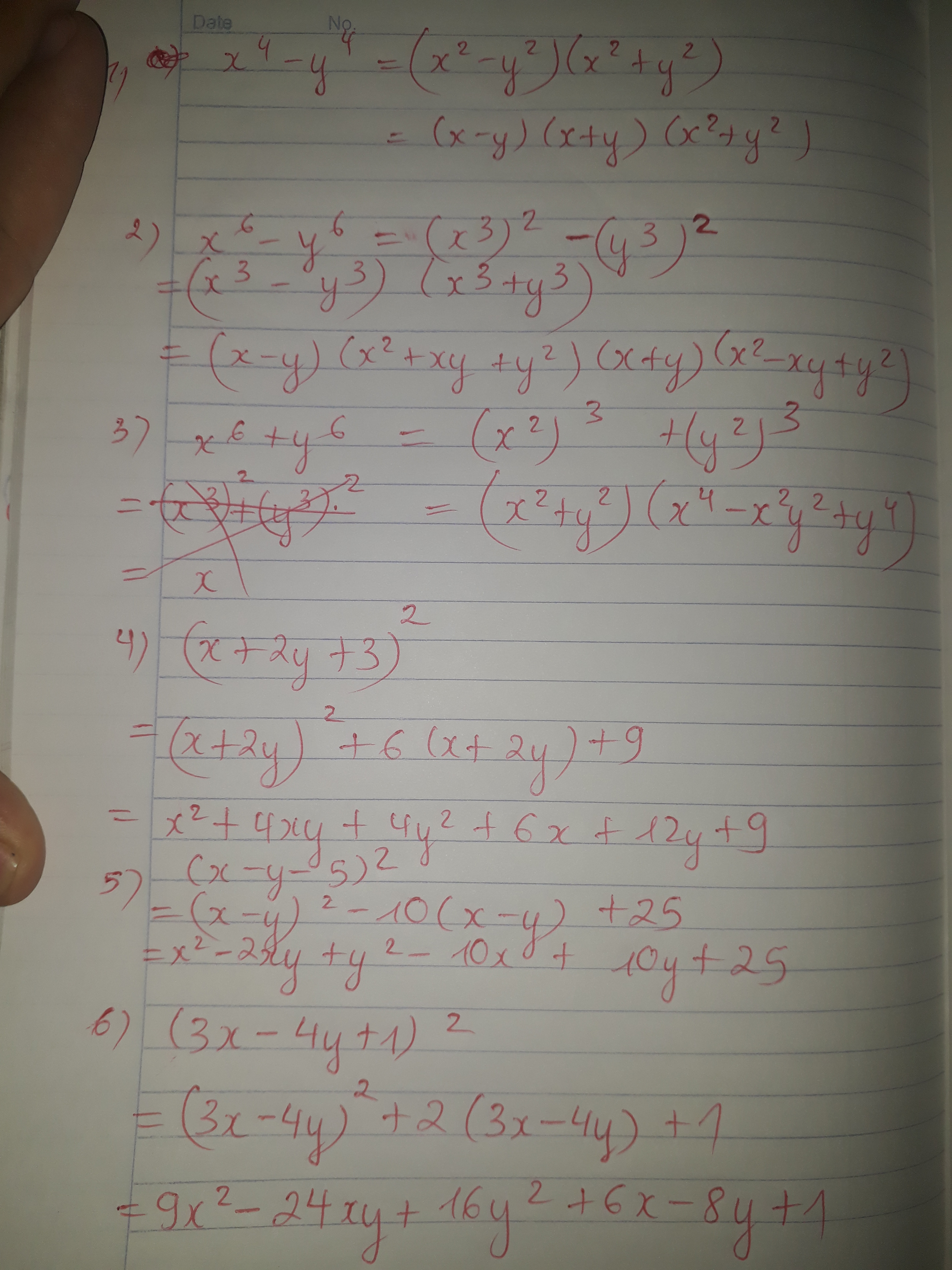
1, x^4 - y^4
2, x^6 - y^6
3, x^6 + y^6
4, (x+2y+3)^2
5, ( x-y-5)^2
6, (3x-4y+1)^2
Quảng cáo
3 câu trả lời 346
4 năm trước
1, x^4 - y^4=(x^2-y^2)(x^2+y^2)
2, x^6 - y^6 =(x^3-y^3)(x^3+y^3)
3, x^6 + y^6 =(x^3+y^3)^2- 2x^3y^3
4, (x+2y+3)^2 = x^2+4y^2+9+2(x+2y)+2(2y+3)+2(x+3)
Quảng cáo
Bạn cần hỏi gì?
Câu hỏi hot cùng chủ đề
-
107437
-
Hỏi từ APP VIETJACK
Đã trả lời bởi chuyên gia
68061 -
Đã trả lời bởi chuyên gia
52846 -
Đã trả lời bởi chuyên gia
47344 -
Đã trả lời bởi chuyên gia
45400 -
Đã trả lời bởi chuyên gia
45045 -
Hỏi từ APP VIETJACK
Đã trả lời bởi chuyên gia
38412 -
Đã trả lời bởi chuyên gia
38191
Gửi báo cáo thành công!


