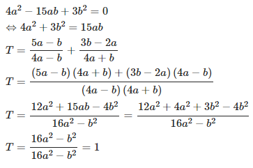
Cho ; b≠ ±4a. Tính giá trị của biểu thức
Quảng cáo
1 câu trả lời 2568
Quảng cáo
Bạn muốn hỏi bài tập?
Câu hỏi hot cùng chủ đề
-
107278
-
Hỏi từ APP VIETJACK67830
-
44998
-
38171
Gửi báo cáo thành công!

