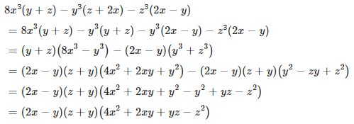
Phân tích đa thức thành nhân tử: 8x ³(y+z) - y ³(z + 2x ) -z ³(2x-y)
Quảng cáo
2 câu trả lời 2688
Quảng cáo
Bạn muốn hỏi bài tập?
Câu hỏi hot cùng chủ đề
-
107278
-
Hỏi từ APP VIETJACK67830
-
44998
-
38171
Gửi báo cáo thành công!

