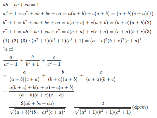
Cho a, b, c >0 thỏa mãn: ab +bc+ca =1. Chứng minh rằng:
Quảng cáo
1 câu trả lời 2420
Quảng cáo
Bạn muốn hỏi bài tập?
Câu hỏi hot cùng chủ đề
-
107278
-
Hỏi từ APP VIETJACK67830
-
44998
-
38171
Gửi báo cáo thành công!

