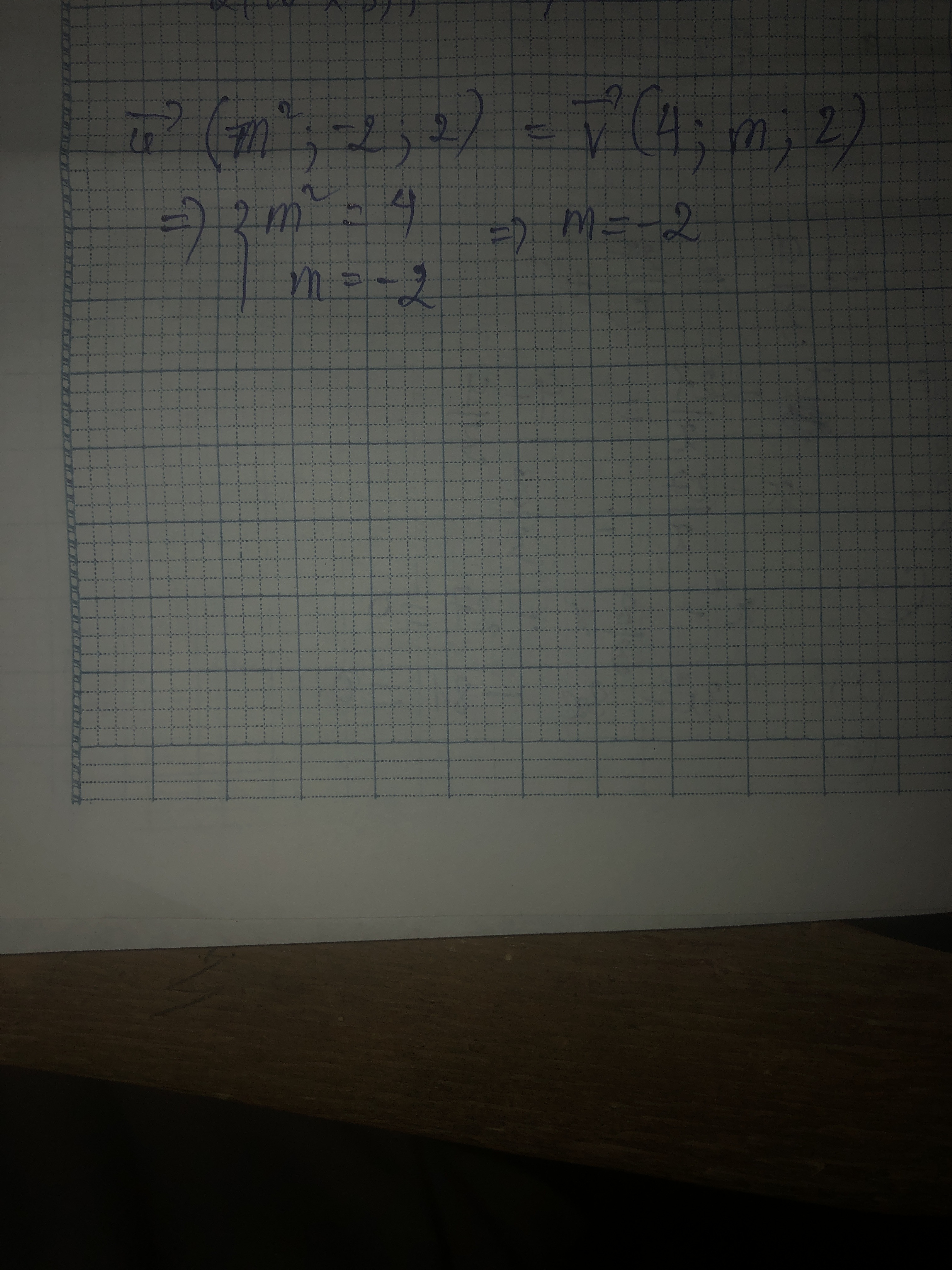
tìm m để 2 véctơ sau bằng nhau: vecto u(m^2;-2:2), vecto v(4;m;2)
Quảng cáo
2 câu trả lời 2565
Quảng cáo
Bạn cần hỏi gì?
Câu hỏi hot cùng chủ đề
-
Đã trả lời bởi chuyên gia
90517 -
Đã trả lời bởi chuyên gia
60499 -
Hỏi từ APP VIETJACK
Đã trả lời bởi chuyên gia
59793 -
Đã trả lời bởi chuyên gia
51377 -
Hỏi từ APP VIETJACK
Đã trả lời bởi chuyên gia
48902 -
Đã trả lời bởi chuyên gia
39218
Gửi báo cáo thành công!


