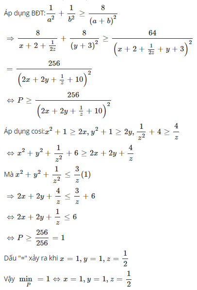
Cho x, y, z là các số thực không âm thỏa mãn . Tìm GTNN của biểu thức P=
Quảng cáo
1 câu trả lời 300
Quảng cáo
Bạn muốn hỏi bài tập?
Câu hỏi hot cùng chủ đề
-
107437
-
Hỏi từ APP VIETJACK
Đã trả lời bởi chuyên gia
68061 -
Đã trả lời bởi chuyên gia
52846 -
Đã trả lời bởi chuyên gia
47344 -
Đã trả lời bởi chuyên gia
45400 -
Đã trả lời bởi chuyên gia
45045 -
Hỏi từ APP VIETJACK
Đã trả lời bởi chuyên gia
38412 -
Đã trả lời bởi chuyên gia
38191
Gửi báo cáo thành công!

