Quảng cáo
2 câu trả lời 325
4 năm trước
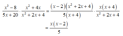
$\dfrac{x^3-8}{5x+20}.\dfrac{x^2+4x}{x^2+2x+4}$
$= \dfrac{x^3-2^3}{5(x+4)}.\dfrac{x(x+4)}{x^2+2x+4}$
$= \dfrac{(x-2)(x^2+2x+4)}{5(x+4)}.\dfrac{x(x+4)}{x^2+2x+4}$
$= \dfrac{(x-2)x}{5}$
$\to$ Đáp án $C$
Quảng cáo
Bạn muốn hỏi bài tập?
Câu hỏi hot cùng chủ đề
-
107278
-
Hỏi từ APP VIETJACK67830
-
44998
-
38171
Gửi báo cáo thành công!

