Quảng cáo
2 câu trả lời 272
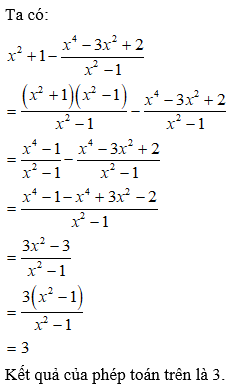
$x^2+1-\dfrac{x^4-3x^2+2}{x^2-1}$
$= \dfrac{x^2+1}{1}-\dfrac{x^4-3x^2+2}{x^2-1}$
$= \dfrac{(x^2+1)(x^2-1)}{x^2-1}-\dfrac{x^4-3x^2+2}{x^2-1}$
$= \dfrac{x^4-1}{x^2-1}-\dfrac{x^4-3x^2+2}{x^2-1}$
$= \dfrac{x^4-1-(x^4-3x^2+2)}{x^2-1}$
$= \dfrac{3x^2-3}{x^2-1}$
$= \dfrac{3(x^2-1)}{x^2-1}=3$
Vậy kết quả cần tìm là $3$
Quảng cáo
Bạn cần hỏi gì?
Câu hỏi hot cùng chủ đề
-
107437
-
Hỏi từ APP VIETJACK
Đã trả lời bởi chuyên gia
68061 -
Đã trả lời bởi chuyên gia
52846 -
Đã trả lời bởi chuyên gia
47344 -
Đã trả lời bởi chuyên gia
45400 -
Đã trả lời bởi chuyên gia
45045 -
Hỏi từ APP VIETJACK
Đã trả lời bởi chuyên gia
38412 -
Đã trả lời bởi chuyên gia
38191
Gửi báo cáo thành công!

