Quảng cáo
2 câu trả lời 1514
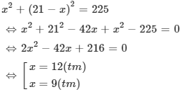
Gọi x, y là độ dài hai cạnh góc vuông (x; y>0; cm)
Cạnh huyền bằng 15cm nên áp dụng pytago ta có:
![]()
Tổng độ dài hai cạnh góc vuông bằng 21cm:
x+y=21
⇔y=21−x (2)
Thế (2) vào (1) ta có:

Với +)x=12⇒ y=9
+)x=9⇒ y=12
Vậy độ dài hai cạnh góc vuông lần lượt là 9cm và 12cm
Vậy độ dài hai cạnh góc vuông lần lượt là 9cm và 12cm
Chúc chị học tốt.
hihihihihihihi
Quảng cáo
Bạn cần hỏi gì?
Câu hỏi hot cùng chủ đề
-
107593
-
Hỏi từ APP VIETJACK
Đã trả lời bởi chuyên gia
68300 -
Đã trả lời bởi chuyên gia
52884 -
Đã trả lời bởi chuyên gia
47390 -
Đã trả lời bởi chuyên gia
45461 -
Đã trả lời bởi chuyên gia
45109 -
Hỏi từ APP VIETJACK
Đã trả lời bởi chuyên gia
38488 -
Đã trả lời bởi chuyên gia
38230
Gửi báo cáo thành công!
