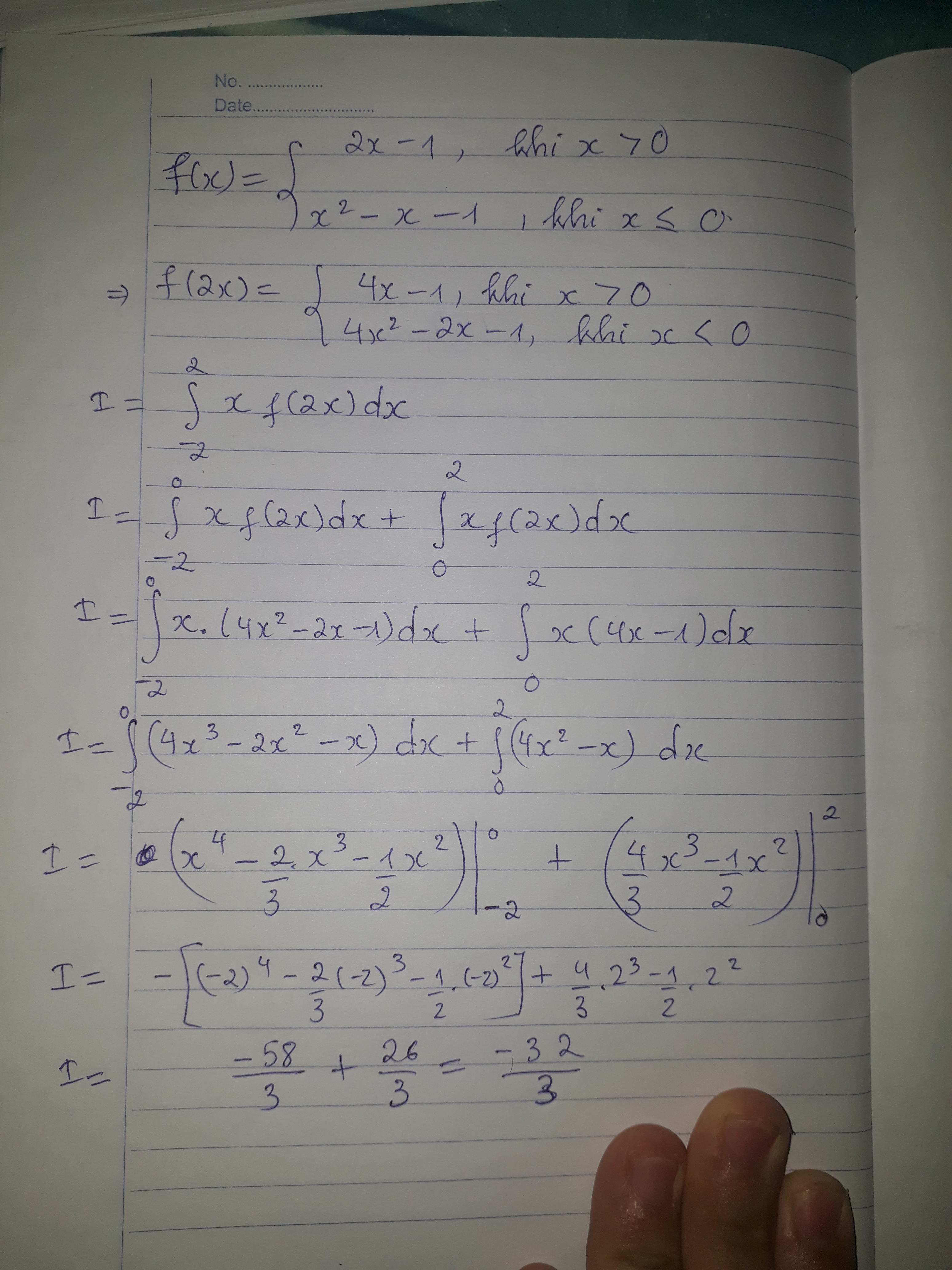
Cho hàm số f(x) = 2x-1 khi x>0, . Tính
Quảng cáo
1 câu trả lời 14330
Quảng cáo
Bạn cần hỏi gì?
Câu hỏi hot cùng chủ đề
-
Hỏi từ APP VIETJACK
Đã trả lời bởi chuyên gia
129637 -
Đã trả lời bởi chuyên gia
104061 -
Đã trả lời bởi chuyên gia
94054 -
Đã trả lời bởi chuyên gia
69272
Gửi báo cáo thành công!


