Khánh Vy Bùi Lê
Hỏi từ APP VIETJACK
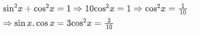
Nếu sin x = 3 cos x thì sin x cos x = ?
A 3/10
B 2/9
C 1/6
D 1/4
( Giải tự luận giúp mik với!!! ) 🥺
Quảng cáo
1 câu trả lời 986
4 năm trước

Khánh Vy Bùi Lê
· 4 năm trước
Cái chỗ => 10 COS ^2 x á là saooo vậi ??? Honggg hỉu khúc đó
Quảng cáo
Bạn muốn hỏi bài tập?
Câu hỏi hot cùng chủ đề
Gửi báo cáo thành công!
