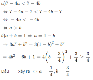
a, So sánh số a, b nếu: 7-4a<7-4b
b, Biết a+b=1. Hãy chứng minh:
Quảng cáo
1 câu trả lời 887
Quảng cáo
Bạn muốn hỏi bài tập?
Câu hỏi hot cùng chủ đề
-
107151
-
Hỏi từ APP VIETJACK67580
-
44957
-
38162
Gửi báo cáo thành công!

