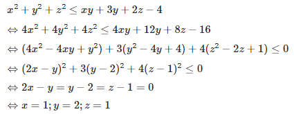
Tìm các số nguyên x, y, z thỏa mãn: ≤ xy+3y+2z-4
Quảng cáo
1 câu trả lời 5128
Quảng cáo
Bạn muốn hỏi bài tập?
Câu hỏi hot cùng chủ đề
-
107278
-
Hỏi từ APP VIETJACK67830
-
44998
-
38171
Gửi báo cáo thành công!

