Tính các giá trị lượng giác của góc a, biết sin a= 1/5 và tan a + cot a < 0
Quảng cáo
2 câu trả lời 24230
4 năm trước
Bài toán: Tính các giá trị lượng giác của góc , biết
và
.
Bước 1: Tìm cos Sử dụng công thức lượng giác cơ bản:
![]()
Thay
vào công thức:
![]()
![]()
Chuyển vế:
![]()
Suy ra:
![]()
Bước 2: Xác định dấu của cos Điều kiện của bài là
. Ta có:
![]()
Nên:
![]()
Thay
và
, xét dấu của biểu thức. - Nếu
, thì cả tan và cot đều dương →
. - Nếu
, thì tan âm và cot âm → tan + cot < 0.
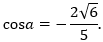
Do đó, từ điều kiện
, ta suy ra:
![]()
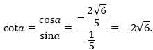
Bước 3: Tính các giá trị lượng giác còn lại
tan:

1:

2 (nghịch đảo của cos):

4 (nghịch đảo của sin):

Bước 4: Kết luận Các giá trị lượng giác của góc là:

Quảng cáo
Bạn muốn hỏi bài tập?
Câu hỏi hot cùng chủ đề
-
Đã trả lời bởi chuyên gia
89037 -
Đã trả lời bởi chuyên gia
59731 -
Hỏi từ APP VIETJACK
Đã trả lời bởi chuyên gia
58851 -
Đã trả lời bởi chuyên gia
50834 -
Hỏi từ APP VIETJACK
Đã trả lời bởi chuyên gia
48266 -
Đã trả lời bởi chuyên gia
38581
Gửi báo cáo thành công!
