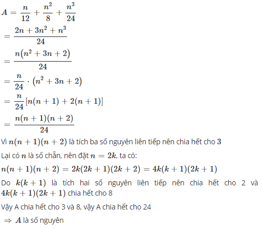
Chứng minh biểu thức A= là số nguyên với n chẵn.
Quảng cáo
1 câu trả lời 1783
Quảng cáo
Bạn muốn hỏi bài tập?
Câu hỏi hot cùng chủ đề
-
107278
-
Hỏi từ APP VIETJACK67830
-
44998
-
38171
Gửi báo cáo thành công!

