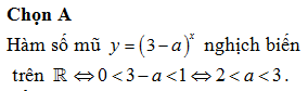
Tìm tất cả các giá trị của a để hàm số nghịch biến trên .
A.
B.
C.
D.
Quảng cáo
1 câu trả lời 4739
Quảng cáo
Bạn muốn hỏi bài tập?
Câu hỏi hot cùng chủ đề
Gửi báo cáo thành công!
Tìm tất cả các giá trị của a để hàm số nghịch biến trên .
A.
B.
C.
D.
Quảng cáo
Quảng cáo
Bạn muốn hỏi bài tập?