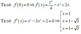
Cho hàm số y=f(x) là hàm số đa thức bậc bốn. Biết f(0)=0 và đồ thị hàm y=f'(x) có hình vẽ bên dưới

Tập nghiệm của phương trình (với m là tham số) trên đoạn có tối đa bao nhiêu phân tử
A. 8
B. 20
C. 12
D. 16
Quảng cáo
2 câu trả lời 2386



Từ đó suy ra BBT của hàm số y=f(x-1) như sau:

Từ BBT trên ta suy ra BBT của hàm số như sau:


Quảng cáo
Bạn cần hỏi gì?
Câu hỏi hot cùng chủ đề
-
Hỏi từ APP VIETJACK
Đã trả lời bởi chuyên gia
129637 -
Đã trả lời bởi chuyên gia
104061 -
Đã trả lời bởi chuyên gia
94054 -
Đã trả lời bởi chuyên gia
69272
Gửi báo cáo thành công!

