Quảng cáo
2 câu trả lời 25381

01.Lý Trần Việt Anh
· 3 năm trước
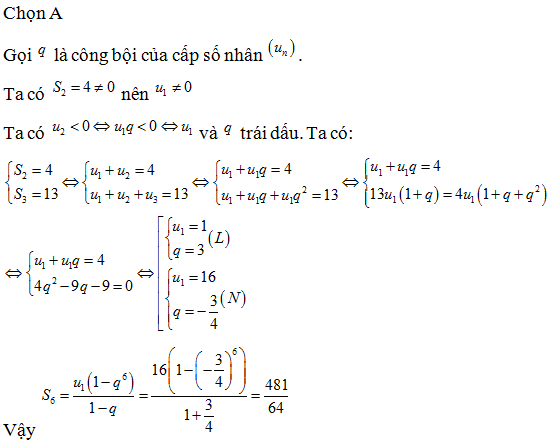
Cho tui hỏi làm sao để có 13u1?
Quảng cáo
Bạn cần hỏi gì?
Câu hỏi hot cùng chủ đề
-
Hỏi từ APP VIETJACK
Đã trả lời bởi chuyên gia
130134 -
Đã trả lời bởi chuyên gia
104703 -
Đã trả lời bởi chuyên gia
94586 -
Đã trả lời bởi chuyên gia
71974
Gửi báo cáo thành công!

