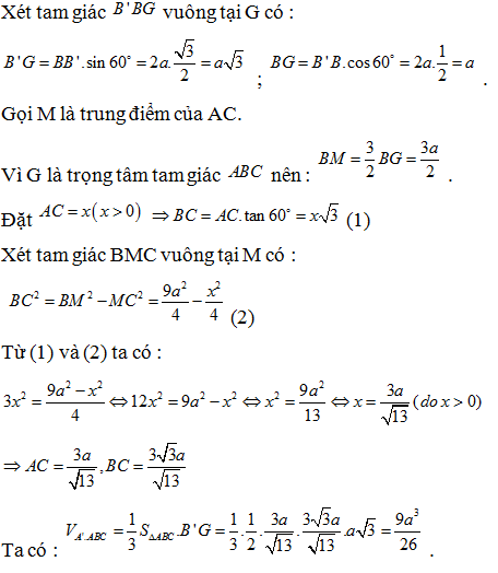
Cho hình lăng trụ có , tam giác ABC vuông tại C và , góc giữa cạnh bên BB' và mặt đáy (ABC) bằng . Hình chiếu vuông góc của B' lên mặt phẳng (ABC) trùng với trọng tâm của tam giác ABC. Thể tích của khối tứ diện A'ABC theo a bằng:
A.
B.
C.
D.
Quảng cáo
1 câu trả lời 12175
Quảng cáo
Bạn cần hỏi gì?
Câu hỏi hot cùng chủ đề
-
Hỏi từ APP VIETJACK
Đã trả lời bởi chuyên gia
129637 -
Đã trả lời bởi chuyên gia
104061 -
Đã trả lời bởi chuyên gia
94054 -
Đã trả lời bởi chuyên gia
69272
Gửi báo cáo thành công!



