Quảng cáo
2 câu trả lời 24773
Giải chi tiết:
Bước 1: Hàm số và điều kiện cực trị
Hàm số:
![]()
Đạo hàm:
![]()
Điểm cực trị xảy ra khi:
y' = 0.
Tại x = -2, thay vào y':
![]()
Tính toán:
![]()
Rút gọn:
![]()
Bước 2: Điều kiện đồ thị đi qua (1, 0)
Thay x = 1, y = 0 vào:
![]()
Tính toán:
![]()
Rút gọn:
![]()
Bước 3: Điều kiện đồ thị có điểm cực trị (-2, 0)
Thay x = -2, y = 0 vào:
![]()
Tính toán:
![]()
Rút gọn:
![]()
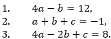
Bước 4: Giải hệ phương trình
Từ (1), (2), (3):

Từ (1):
![]()
Thay b = 4a - 12 vào (2):
![]()
Tính toán:
![]()
Thay b = 4a - 12 và c = -5a + 11 vào (3):
![]()
Tính toán:
![]()
Tính b và c:
![]()
Bước 5: Tính T = a2 + b2 + c2
![]()
Kết luận:
Giá trị của T là:
![]()
Quảng cáo
Bạn muốn hỏi bài tập?
Câu hỏi hot cùng chủ đề
-
Hỏi từ APP VIETJACK
Đã trả lời bởi chuyên gia
129637 -
Đã trả lời bởi chuyên gia
104061 -
Đã trả lời bởi chuyên gia
94054 -
Đã trả lời bởi chuyên gia
69272
Gửi báo cáo thành công!

