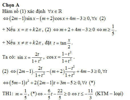
Cho hàm số (1). Có tất cả bao nhiêu giá trị nguyên dương nhỏ hơn 2019 của tham số m để hàm số (1) xác định với mọi ?
A. 2017
B. 2
C. 2018
D. 0
Quảng cáo
3 câu trả lời 3672
Quảng cáo
Bạn muốn hỏi bài tập?
Câu hỏi hot cùng chủ đề
Gửi báo cáo thành công!



